文/haon 投稿邮箱:yiyao@yidu.sinanet.com ◆ ◆ ◆ 尽管我国新冠疫情得到快速控制,但国外疫情仍然呈现持续蔓延态势,美国、印度、巴西等国家每日新增确诊病例数量屡创新高。 为尽快扑灭疫情,目前,各国都在加速研发新冠疫苗,从各家公布的研发进展上来
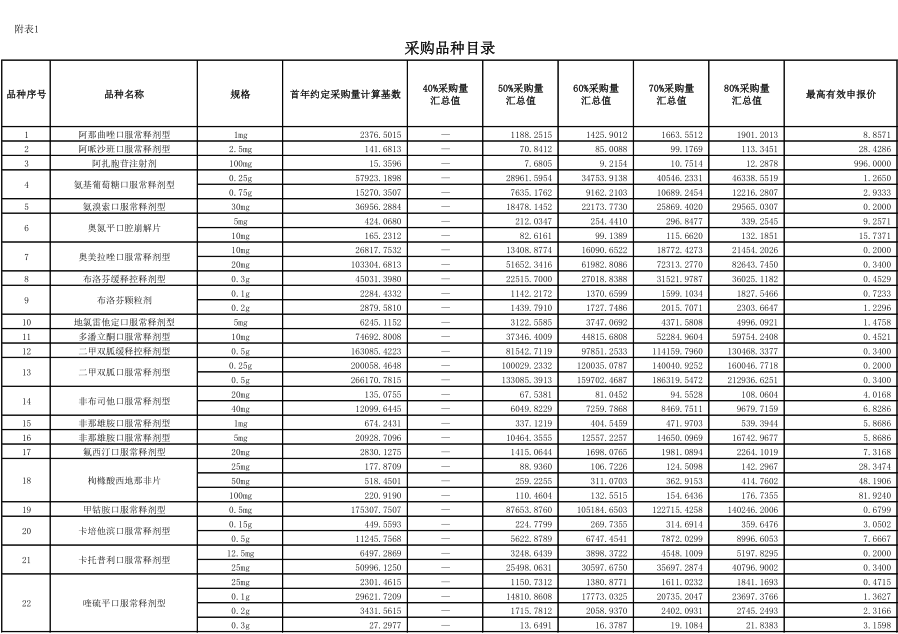
投稿邮箱:yiyao@yidu.sinanet.com ◆ ◆ ◆ 今日,上海阳光医药采购网正式发布了国家组织药品集中采购和使用联合采购办公室关于发布《全国药品集中采购文件(GY-YD2020-1)》的公告国联采字〔2020〕1号。 一、采购品种及约定采购量 (一)采购品种目录本
编译丨newborn 7月29日,赛诺菲发布了2020年第二季度财报, 净销售额82.07亿欧元,同比下降4.9%;净收入16.01亿欧元,同比增长3.6% ;业务每股收益(EPS)1.28欧元,同比增长3.2%。上半年,净销售额171.8亿欧元,增长0.9%;净收入35.21亿欧元,增长8.7%;业务
文/张红利 投稿邮箱:yiyao@yidu.sinanet.com ◆ ◆ ◆ 7月30日,国家药监局官网显示,辉瑞特应性皮炎(atopic dermatitis,AD)新药克立硼罗软膏(Eucrisa,crisaborole)获得批准上市,用于2岁及以上轻度至重度AD患者。 两大AD疗法相继在华获批 Eucrisa是
文/Linan 投稿邮箱:yiyao@yidu.sinanet.com ◆ ◆ ◆ 7月29日(昨日)晚间,国家组织药品集中采购和使用联合采购办公室关于发布《全国药品集中采购文件(GY-YD2020-1)》的公告(国联采字〔2020〕1号)。一直备受业内瞩目的第三批国采文件正式对外公示,8
联合发布:新浪医药、赛迪顾问 一周概览 政策法规方面,国务院发布《关于进一步加强药品不良反应监测评价体系和能力建设的意见》,持续完善药品不良反应监测评价体系; 研发动向方面,本周新增131例药品注册申报受理号、15个一致性评价受理号,另有25个申
医药行
没有账号,马上注册!
忘记密码?
其他方式登录