▍来源/赛柏蓝
▍作者/遥望
福建针对40个大品种开展新一轮带量采购,180家药企将展开集采市场争夺战,后天模拟报价开始
1
180家药企参与福建新一轮集采
近日,福建医保局发布《关于公示2021年福建省药品集中带量采购产品信息的通知》称,目前福建省药品带量采购产品申报工作已经结束,现将符合申报规则的企业及产品名单予以公示,公示期到4月22日。
据赛柏蓝梳理,福建省在2021年开展的新一轮带量采购,共选取了40个品种,符合申报规则的共279个品规,涉及177家生产厂家,共180家药企报名。
40个品种包含伊立替康、罂粟碱、复方甘草酸苷、普伐他汀、替加环素、丙泊酚、氟尿嘧啶、比阿培南、美洛西林舒巴坦(4:1)、门冬氨酸钾、胸腺法新、兰索拉唑、米格列奈、左卡尼汀、左氨氯地平、黄体酮、非洛地平等常用的药品。
根据福建省采购文件规定,福建本轮带量采购采取分组的方式,将同通用名品种根据相关资质分为A、B两组——A组为原研药、参比制剂、通过(含视同通过)仿制药质量和疗效一致性评价的药品、新注册分类批准的仿制药品、纳入《中国上市药品目录集》的药品以及通过FDA认证的药品,除此之外的药品归为B组。
文件同时要求,参与B组报名的产品,需要满足下面两个条件之一——2019年《中国医药统计年报(综合册)》中按医药工业主营业务收入排序前500的企业;申报品种2020年在福建省药品采购平台采购数量排名前3名的企业。
据赛柏蓝梳理发现,符合申报规则的279个品规多数都被分在了B组,如阿那曲唑、氨基己酸、奥硝唑、苯唑西林、比阿培南等品种,参与申报的品规均被分在了B组,没有符合A组资质的药企参与申报。
有符合A组资质药企申报的品种如丙泊酚、达肝素、非洛地平等,被划分为A组的药企,也明显少于B组,比如非洛地平,仅阿斯利康一家药企被分到了A组,而符合B组资质要求的申报药企有5家。预计到了报价阶段,B组药企之间的竞争将更为激烈。
值得注意的是,根据福建省的规定,如果相关药企符合申报条件,那么就必须参与本轮带量采购——否则,福建省药械联合采购中心将对相关企业涉及产品暂停挂网,采购周期内不得在福建省挂网销售。
上述规定一定程度上也保证了福建省本轮集采的高参与度与竞争的充分程度。届时40个品种的降幅如何,在福建省内市场,这40个药品的公立医院市场又将出现怎样的分割,值得后续关注。
2
价格与降幅仍是中选核心
福建省的集采文件规定,福建全省所有公立医疗机构全部参加本轮集采,医保定点社会办医疗机构、医保定点零售药店可在进一步完善药品进销存管理、确保药品货款及时结算的基础上参与。
至于约定采购量,文件规定,各品种A、B组约定采购量按全省公立医疗机构(含在闽部队、武警医疗机构、部队药材供应站,下同)报送的预采购量的70%分组确定。
福建省目前的集采文件规定,本轮集采区分A、B组分组竞价,一次报价。
通过资质审核并报价的企业数≥3家的组别:组内报价最低的拟中选,给予本组100%约定采购量;
通过资质审核并报价的企业数≤2家的组别:
组内报价最低且降幅(四舍五入保留小数点后两位) 符合以下三个条件之一的拟中选,给予本组100%约定采购量——降幅从高到低在所有组别排名前50%(遇无法整除保留整数位);达到同通用名品种另一组(需为三家及以上组)降幅;达到所有组别三家及以上组平均降幅的50%。
组内报价最低且降幅符合以下两个条件之一的拟中选,给予本组50%的约定采购量——降幅达到所有组别三家及以上组平均降幅的25%;绝对降幅达到10%。
采购方案另外规定,其余品种作流标处理,福建省药械联合采购中心对相关产品实施重点监测,按月公布各医疗机构采购量,并列入医保稽核监管必查项目。
福建省的相关文件规定,针对被重点监测的药品,采购使用异常的话,将面临通报约谈、督促整改等;针对月发货金额超过500万元的重点监测药品,将调低挂网价,整改不力的,将视情予以暂停相关药品货款支付、暂停挂网、撤销挂网等处理。
此外,在医保稽核监管中,发现存在使用不合理情况,按有关规定和医疗服务协议从严处理。对存在不合理用药情形的医师和医疗机构予以约谈、通报、暂停医保处方权等处理。
3
后天模拟报价,5月公布结果
福建本轮药品集采从3月30日正式公布集采文件开始,已经基本完成了网上申报材料的阶段。
后续事项的时间安排如下:
模拟报价时间:2021年4月20日9:00~21日9:00;
申报报价时间:2021年5月7日9:00~8日9:00;
开标解密时间:2021年5月8日10:00;
B组拟中选价格高于A组纠偏确认时间:2021年5月8日14:00前
拟中选结果公示时间:2021年5月8日~14日 17:00
不难看出,福建本轮集采直到最终确认中选结果,花费的时间预计在两个月左右,可谓进度飞快。
值得注意的是,文件规定中选药品在履行合同中如有全国其他省、地市级(含联盟)集中带量采购中选价格低于本次中选价格的,价格相应联动。也就是说,最终的中选价格,根据全国范围内的集采情况,仍然有进一步降低的可能。
就中选结果的执行,采购文件规定,各公立医疗机构将优先使用集中带量采购中选品种,并确保完成约定采购量,中选药品使用量原则上不少于同组使用总量的60%。
如同通用名品种A、B两组中任意一组流标,则原则上流标组对应产品使用量不得超过医疗机构报送的流标组预采购量。中选药品执行周期内通过质量和疗效一致性评价继续按B组约定量执行。
福建本轮集采采购周期自中选结果实际执行日起计算,原则上为12个月。到期后可根据采购和供应等实际情况延长采购期限,延续周期原则上为12个月。
值得注意的是与福建开展的上一轮带量采购相比,本轮集采纳入的品种数量明显增多。放眼全国的省级集采、省际联盟集采,以及正在报量的第五轮国家组织药品集采,扩量、扩品种都是可能的趋势。
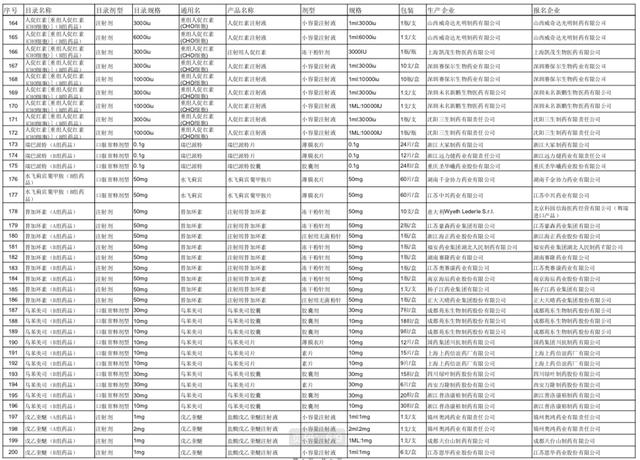
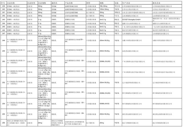
附:符合申报规则的企业及产品名单
(注:点击查看大图)
本文来源:赛柏蓝 作者:小编 免责声明:该文章版权归原作者所有,仅代表作者观点,转载目的在于传递更多信息,并不代表“医药行”认同其观点和对其真实性负责。如涉及作品内容、版权和其他问题,请在30日内与我们联系
赛柏蓝




我们沟通的很顺畅
电话已拨通,无人接听
这个电话号码是空号