导语:日前,新冠感染的第一波高峰已至,但大部分第一波感染的人尚未完全恢复。春节的临近伴随着XBB系列毒株的进入,人们普遍担心二次或多次感染的后果,更有微信聊天截图疯传二次感染会造成更严重的后果。要了解事实真相,我们应该首先参考一下已有过多轮感染的其他国家的经验。今天,我们从科研的角度深入了解580万人的数据,了解真实世界里多次感染新冠病的后果。殷鉴不远,我们应该客观理性的面对新冠疫情,而非被各种妄言裹挟。
582万人的数据揭示新冠再感染的后果
不止中国,全球多个国家都正在经历新冠病毒的反复感染。以往关于新冠再感染的流行病学研究仅限于再次感染风险的调查,以及第一次和第二次新冠感染急性期住院或死亡风险差异的比较评估。再感染是否会导致严重后果,增加后遗症的风险却不得而知。
近日,美国退伍军人事务部圣路易斯医疗保健系统临床流行病学中心和华盛顿大学医学院医学系等联合团队在Nature medicine发表题为“Acute and postacute sequelae associated with SARS-CoV-2 reinfection”的研究成果。此项研究使用了美国退伍军人事务部的国家医疗保健数据库5,819,264人的数据,包括仅感染一次新冠病毒(n=443,588)、再次感染(两次或多次感染,n=40,947)和未感染对照者(n=5,334,729),分析了6个月内再次感染导致的健康风险,包括各种器官系统的全因死亡率、住院治疗和后遗症。第一次和第二次感染时间的中位数分布为191天,第二次和第三次感染时间的中位数分布为158天。

图1 研究成果(图源:[1])
01
再感染者全因死亡率和住院风险增加,且至少患有一种后遗症
为了更好地了解再感染是否会增加健康风险,研究首先使用逆概率加权生存模型分析了与未再感染的人相比,再感染的人的全因死亡率、住院率和器官系统的健康风险。再感染定义为距离首次阳性至少90天后新冠检测再呈阳性。指定90天的时间范围是为了降低阳性结果与首次感染相关的可能性。
通过对数据分析发现:与未发生再感染的患者相比,发生再感染的患者在6个月时每千人全因死亡负担增加115%。再感染患者的住院负担增加214%,且至少有一种新冠感染后遗症负担增加74%;再感染患者肺部后遗症的负担增加240%,肺外器官系统疾病包括心血管疾病增加193%、凝血和血液病增加205%、疲劳增加127%、胃肠疾病增加134%、肾脏疾病增加249%、心理健康障碍增加99%、糖尿病增加69%、肌肉骨骼疾病增加62%和神经障碍负担增加56%;从首次感染到再感染的时间长度与再感染的全因死亡率、住院和至少一种后遗症风险之间的相关性没有变化;无论疫苗接种状况如何,再感染与更高的全因死亡率、住院率、至少一种后遗症和不同器官系统的后遗症风险相关。

图2 再感染者与未再感染者后遗症的风险和负担(图源:[1])
02
感染次数越多,累积后遗症风险越高
为了更好地了解多重感染者的累积风险,研究估计了仅一次感染、两次、三次或更多次感染的累积风险和负担。通过对数据分果发现随着感染数量的增加,一年内每千人不良健康结果负担增加,且存在分级关联:一次感染、两次、三次或更多次感染的患者住院负担分别增加了40%、302%、528%,至少有一种新冠感染后遗症负担分别增加了24%、57%、67%;再感染患者肺部后遗症的负担分别增加了87%、238%、308%,肺外器官系统疾病包括心血管疾病分别增加了54%、186%、335%,凝血和血液病分别增加了62%、194%、324%,疲劳分别增加了43%、139%、224%,胃肠疾病分别增加了28%、119%、198%,肾脏疾病分别增加了38%、189%、389%,心理健康障碍分别增加了26%、89%、122%,糖尿病分别增加了35%、106%、185%,肌肉骨骼疾病分别增加了23%、52%、80%和神经障碍负担分别增加了25%、69%、117%。

图3 感染1次、2次、3次或更多次的后遗症累积风险和负担。(图源:[1])
03
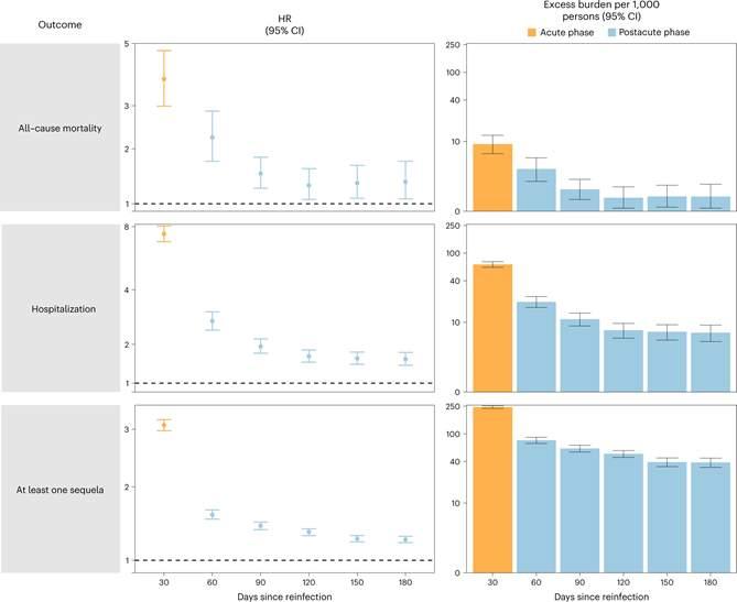
新冠再感染急性期健康风险在六个月后仍然存在
为确定再感染的急性期及之后是否存在新冠再感染后遗症的风险,研究人员以30天为增量,对从再感染到180天后的风险和负担进行了分析。结果发现:与没有再感染的人相比,再感染的人在急性期和急性期后表现出更高的风险和全因死亡率、住院率以及至少一种后遗症的额外负担;这些风险随着时间的推移逐渐减弱,但在再次感染后6个月仍然很明显;在急性期所有器官系统的风险均增加,且在6个月后仍然很明显。

图4 再感染者急性期及后全因死亡率、住院率和至少一种后遗症的风险和负担。(图源:[1])

图5 再感染者急性期及后器官系统后遗症的风险和负担。(图源:[1])
总之,研究结果表明,在再感染的急性期和后期,再感染会进一步增加全因死亡率和不良健康结果的风险。这表明对于已经感染过一次的人来说,继续保持警惕以降低再感染的风险可能对降低个人健康的总体风险很重要。
虽然这是第一项同时描述再感染的短期和长期健康风险的研究,但仍有局限性。感染一次、两次、三次或更多次的人群包括新冠检测呈阳性的人群,不包括可能感染新冠但未接受检测的人群,但这些人本应被纳入对照组,这可能会导致分类错误;如果这些人大量存在,并且不良健康后果的真实风险大大高于未感染的对照组,将会导致再感染风险的低估;受试人群主要由年龄较大的男性组成,可能不能代表一般人群;研究所用统计方式不能完全排除来自未测量或未知混杂因素;新冠是高度动态的全球事件,流行病学驱动因素会随着时间的推移而变化,再次感染的流行病学及其对健康的影响可能也会随着时间的推移而变化。
新冠不是大号流感,仍比流感更严重
随着人们建立了对新冠病毒的免疫力,以及变体病毒变得更加温和后,人们开始讨论一个问题:新冠的未来趋势会是像感冒那样吗?1月5日,国家中西医结合医学中心主任仝小林表示:“新冠不是大号流感,北京疫情症状明显,部分人转成肺炎,而且大部分患者中招时间很长。”密歇根大学流行病学家Aubree Gordon表示:“我以前真的认为它会成为更接近普通感冒的冠状病毒。但严重程度并没有像最初希望的那样急剧下降。接种疫苗的人群也遭受了二次和三次新冠感染,这种病毒仍然比流感更严重。”
自大流行早期以来,许多专家就预测了这样的轨迹:疫苗和感染不断增强对新冠的免疫力,最终可能会将新冠驯服为一种像普通感冒一样微不足道的疾病,或者在最坏的情况下,与季节性流感一样。从美国的经验来看,新冠症状更加普通和普遍,很难区分新冠、流感、呼吸道合胞病毒和普通感冒的区别。
休斯顿大学急诊科医生Summer Chavez表示:“有时新冠的症状非常奇怪且不典型。患者会出现呼吸道疾病的标准症状,比如发烧、咳嗽等,但也会出现意想不到的症状,比如皮疹、腹泻、呼吸短促、味觉或嗅觉丧失。目前最常见的新冠症状是喉咙痛、流鼻涕、鼻塞、打喷嚏、咳嗽和头痛。一些主流的奇怪症状已经很少见了,越来越多的患者味觉和嗅觉也完好无损。”

那么,“到喉不到肺”的新冠病毒未来趋势会是像感冒那样吗?约翰·霍普金斯大学的流行病学家Shruti Mehta表示:“至少暂时还不会,在免疫力不足的地区,它仍然有可能导致重症和死亡,新的变体病毒也仍然可能出现,甚至在年轻和健康的人群中引发更严重的疾病。比如奥密克戎BA.2亚型变体就比它的前身BA.1变体更具有免疫逃避性,会引发更多和更严重的症状。”
参考文献:
[1]Bowe B, Xie Y, Al-Aly Z. Acute and postacute sequelae associated with SARS-CoV-2 reinfection. Nat Med. 2022 Nov;28(11):2398-2405. doi: 10.1038/s41591-022-02051-3. Epub 2022 Nov 10. PMID: 36357676; PMCID: PMC9671810.
[2]Callaway E. COVID 'variant soup' is making winter surges hard to predict. Nature. 2022 Nov;611(7935):213-214. doi: 10.1038/d41586-022-03445-6. PMID: 36307585.
本文来源:新康界 作者:健康界 免责声明:该文章版权归原作者所有,仅代表作者观点,转载目的在于传递更多信息,并不代表“医药行”认同其观点和对其真实性负责。如涉及作品内容、版权和其他问题,请在30日内与我们联系
新康界

我们沟通的很顺畅
电话已拨通,无人接听
这个电话号码是空号